高空墜落物體沖擊力的計算方法
墜落物體的沖擊力計算涉及物理學中的動量、能量和力的概念。以下是計算沖擊力的基本步驟
很多高空作業人體防墜器使用單位,經常問廠家:什么是沖擊力?今天我就給大家說一下什么是沖擊力以及計算方法。
沖擊力是物體相互碰撞時出現的力,又稱沖力或碰撞力。?其特點是作用時間極短,通常只有百分之幾秒甚至千分之幾秒,但量值可以達到很大。
墜落物體的沖擊力計算涉及物理學中的動量、能量和力的概念。以下是計算沖擊力的基本步驟:
1. 確定物體的質量(m)
物體的質量是已知的,單位為千克(kg)。
確定物體從靜止開始下落的高度,單位為米(m)。
3. 計算下落時間(t)
使用自由落體公式計算下落時間:
其中,g 為重力加速度,約為g≈9.80 m/s2。
4. 計算落地速度(v)
使用自由落體公式計算落地速度:
v = gt
或
5. 計算動量(p)
動量公式為:
p = mv
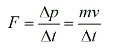
6. 計算沖擊力(F)
沖擊力取決于物體停止的時間(
),使用動量定理:
其中,
是物體從接觸到完全停止的時間。
7. 考慮能量轉換
如果已知物體變形吸收的能量(E),可以使用能量公式:
E = Fd
其中, d是物體在沖擊過程中的變形距離。
示例
假設一個質量為 100 kg 的物體從 5 米高處落下,停止時間為 0.1 秒:
1. 計算落地速度:
2. 計算沖擊力:
注意事項
停止時間
通常較短,需根據實際情況估算。
實際沖擊力可能因材料彈性、接觸面積等因素有所不同。
通過這些步驟,可以估算墜落物體的沖擊力。
以上計算方法僅供參考。
高空作業防墜器廠家電話13933276606 微信同步。





